Author Topic: Math challenge: Evaluate big factorials like 1000!  (Read 21400 times)

0 Members and 1 Guest are viewing this topic.

Offline STxAxTIC

  • Library Staff
  • Forum Resident
  • Posts: 1091
  • he lives
    • View Profile
Math challenge: Evaluate big factorials like 1000!
« on: October 26, 2019, 10:40:41 pm »
I think most people know that the factorial of a number (strictly integer for now) is that number multiplied by every integer less than it, all the way down to 1.

N! = N * (N-1) * (N-2) * ... * (N-(N-1))

so for example:

10! = 10*9*8*7*6*5*4*3*2*1

etc.

Whoever can write the tightest code to evaluate 100! and 1000! gets the prize of their answer being highlighted green. The answer should be in regular power-of-ten scientific notation with reasonable precision, not infinite. Note that using Stirling's approximation is in-exact and is not allowed. (See the screenshot.) And once again, you need not reach for big-number libraries.
stirling.png
* stirling.png (Filesize: 47.1 KB, Dimensions: 654x377, Views: 481)
« Last Edit: October 26, 2019, 10:51:28 pm by STxAxTIC »
You're not done when it works, you're done when it's right.

Marked as best answer by STxAxTIC on October 27, 2019, 01:59:52 am

Offline Ashish

  • Forum Resident
  • Posts: 630
  • Never Give Up!
    • View Profile
Re: Math challenge: Evaluate big factorials like 1000!
« Reply #1 on: October 27, 2019, 01:37:39 am »
I think this is it -
Code: QB64: [Select]
  1. 'Code to evaluate 100! or 1000! in scientific notation
  2. 'By Ashish for STxAxTIC
  3. FOR i = 1 TO 1000
  4.     v# = v# + (LOG(i) / LOG(10.#))
  5.     IF i<101 THEN k# = k# + (LOG(i)/LOG(10.#))
  6. PRINT "1000! = "; 10 ^ (v# - INT(v#)); " * 10^"; INT(v#)
  7. PRINT "100! = "; 10 ^ (k# - INT(k#)); " * 10^"; INT(k#)
  8.  

Is I am the winner?
« Last Edit: October 27, 2019, 01:51:20 am by Ashish »
if (Me.success) {Me.improve()} else {Me.tryAgain()}


My Projects - https://github.com/AshishKingdom?tab=repositories
OpenGL tutorials - https://ashishkingdom.github.io/OpenGL-Tutorials

Offline STxAxTIC

  • Library Staff
  • Forum Resident
  • Posts: 1091
  • he lives
    • View Profile
Re: Math challenge: Evaluate big factorials like 1000!
« Reply #2 on: October 27, 2019, 05:57:55 am »
This is why everyone here loves you Ashish, perfect job.

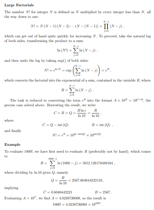
For anyone else who hasn't mastered the question, the proof of why his answer works is attached below (it requires the results of the previous challenge, in theory.)
facts.png
* facts.png (Filesize: 54.61 KB, Dimensions: 493x670, Views: 488)
You're not done when it works, you're done when it's right.

Offline jack

  • Seasoned Forum Regular
  • Posts: 408
    • View Profile
Re: Math challenge: Evaluate big factorials like 1000!
« Reply #3 on: October 27, 2019, 07:41:33 am »
in this particular case you could have dispensed with logarithms and used _FLOAT

Offline STxAxTIC

  • Library Staff
  • Forum Resident
  • Posts: 1091
  • he lives
    • View Profile
Re: Math challenge: Evaluate big factorials like 1000!
« Reply #4 on: October 27, 2019, 10:05:38 am »
Lol, fine. Pretend the question was 10!^(10!)... Nice observation though jack... you mean we could have just done brutal multiplication right? I dont know the limits of float off hand.
« Last Edit: October 27, 2019, 10:06:57 am by STxAxTIC »
You're not done when it works, you're done when it's right.

Offline jack

  • Seasoned Forum Regular
  • Posts: 408
    • View Profile
Re: Math challenge: Evaluate big factorials like 1000!
« Reply #5 on: October 27, 2019, 10:18:32 am »
sorry that I spoiled the fun
the _FLOAT range should be 3.4E-4932 to 1.1E+4932

Offline STxAxTIC

  • Library Staff
  • Forum Resident
  • Posts: 1091
  • he lives
    • View Profile
Re: Math challenge: Evaluate big factorials like 1000!
« Reply #6 on: October 27, 2019, 10:24:11 am »
Actually float starts failing somewhere before 175-factorial, it'll never make to 1000 unless this code is too tight:

Code: QB64: [Select]
  1. a = 1
  2. FOR k = 1 TO 165
  3.     a = a * k

Hat remains tipped in Ashish's direction.
You're not done when it works, you're done when it's right.

Offline jack

  • Seasoned Forum Regular
  • Posts: 408
    • View Profile
Re: Math challenge: Evaluate big factorials like 1000!
« Reply #7 on: October 27, 2019, 10:57:51 am »
@STxAxTIC
you are right, somehow _FLOAT is not an extended 80-bit float anymore or at least don't behave that way

Offline jack

  • Seasoned Forum Regular
  • Posts: 408
    • View Profile
Re: Math challenge: Evaluate big factorials like 1000!
« Reply #8 on: October 27, 2019, 11:10:51 am »
here _FLOAT gives the extended result
Code: [Select]
f## = 1## / 3##
f## = (f## * 1000000000000000##) - 333333333333333##
PRINT f##

f# = 1# / 3#
f# = (f# * 1000000000000000#) - 333333333333333#
PRINT f#
but obviously _FLOAT is broken

Offline STxAxTIC

  • Library Staff
  • Forum Resident
  • Posts: 1091
  • he lives
    • View Profile
Re: Math challenge: Evaluate big factorials like 1000!
« Reply #9 on: October 27, 2019, 11:17:21 am »
I think I know what a major issue is, which may or may not have led to the observed failure using _FLOAT.

Suppose we're halfway through a factorial calculation, and the intermediate result happens to contain more digits than the precision of whatever type we're using. For instance the temporary answer might be: 1.2345678XXXXXXXX * 10^50

...But we know the digits go beyond that final 8 but have been chopped off. Note though (and this is the important part) that there's no way to multiply a less precise number, even something as innocent as 3, into an an answer that's already imprecise at the single-digit order. Depending on what's after the last digit, you will even start losing track of the order of magnitude. For factorials this is effect especially bad - the calculation goes wrong early and just compounds wildly from there.

Anyway, thanks for turning this stone over.
« Last Edit: October 27, 2019, 11:21:27 am by STxAxTIC »
You're not done when it works, you're done when it's right.

Offline SMcNeill

  • QB64 Developer
  • Forum Resident
  • Posts: 3972
    • View Profile
    • Steve’s QB64 Archive Forum
Re: Math challenge: Evaluate big factorials like 1000!
« Reply #10 on: October 27, 2019, 11:33:11 am »
You could probably multiply in groups and not have such a precision issue.

1000! = (1000*999*998*997*996*995*994*993*992*991) * 990!
990! = (990*989*988*987*986*985*984*983*982*981) * 980!

The other solution is just to swap over to string math.  It’s slow, but precise and reliable.
https://github.com/SteveMcNeill/Steve64 — A github collection of all things Steve!

Offline STxAxTIC

  • Library Staff
  • Forum Resident
  • Posts: 1091
  • he lives
    • View Profile
Re: Math challenge: Evaluate big factorials like 1000!
« Reply #11 on: October 27, 2019, 11:38:26 am »
I don't see offhand how doing the multiplication in groups would be better without resorting to logs or other manicuring tricks, I'll think about it.

String math does get right to the answer eventually, but in real life that's still too slow (for numbers that matter in useful science). In the biz we use Stirling's approximation for this stuff (see top post).

EDIT

Forgot to mention that doing it backwards is probably better than forwards... As in start with 1*2*3*4, rather than N*(N-1)*(N-2).
« Last Edit: October 27, 2019, 11:45:33 am by STxAxTIC »
You're not done when it works, you're done when it's right.

Offline jack

  • Seasoned Forum Regular
  • Posts: 408
    • View Profile
Re: Math challenge: Evaluate big factorials like 1000!
« Reply #12 on: February 04, 2020, 03:57:29 am »
here's a solution without logarithms
Code: [Select]
DIM a AS _FLOAT
a = 1
n = 1000
IF n < 1755 THEN
    FOR k = 1 TO n
        a = a * k
    NEXT
    e = 0
    WHILE a > 1F308
        a = a / 10##
        e = e + 1
    WEND

    f$ = STR$(a)
    d = INSTR(f$, "D")
    d$ = MID$(f$, d + 1)
    e = e + VAL(MID$(f$, d + 1))
    f$ = LEFT$(f$, LEN(f$) - LEN(d$) + 1) + LTRIM$(STR$(e))

    PRINT "factorial of "; n; " = "; f$
ELSE
    PRINT n; " is too large"
END IF
it works up to n = 1754
I noticed that the 32-bit version of QB64 is more accurate,  the 64-bit version doesn't preserve the precision of a _Float but rather that of a double
« Last Edit: February 04, 2020, 04:55:15 am by jack »

Offline Richard Frost

  • Seasoned Forum Regular
  • Posts: 316
  • Needle nardle noo. - Peter Sellers
    • View Profile
Re: Math challenge: Evaluate big factorials like 1000!
« Reply #13 on: February 04, 2020, 07:01:40 am »
Is there a prize for the weirdest effort?  I can only get to 170!, but I do use recursion, which is deadly short.  The
code for a single factorial could be 5 lines.  So I jazzed up my pathetic numerical skill with a font guaranteed  to make
people reach for their glasses.
Code: QB64: [Select]
  1. DEFINT A-Z
  2. COMMON SHARED n##, xx, yy, y
  3. DIM SHARED p(12, 4)
  4. DATA "0",7,5,5,5,7,"1",2,6,2,2,7,"2",7,1,7,4,7,"3",7,1,7,1,7,"4",5,5,7,1,1,"5",7,4,7,1,7
  5. DATA "6",7,4,7,5,7,"7",7,1,1,1,1,"8",7,5,7,5,7,"9",7,5,7,1,7,".",0,0,0,0,2,"+",0,2,7,2,0
  6. xx = 40: yy = 58: y = yy: SCREEN 12
  7. FOR i = 0 TO 11 '                                     load font
  8.     READ g$: FOR j = 0 TO 4: READ z: p(i, j) = z * 4096: NEXT
  9. FOR what = 1 TO 171
  10.     n## = 1: fact what: t$ = STR$(what) + STR$(n##)
  11.     IF what < 171 THEN tinyprint t$ ELSE LOCATE 25, 50: PRINT t$
  12. SUB fact (t)
  13.     IF t = 1 THEN EXIT SUB
  14.     n## = n## * t: fact t - 1 '                       look Mom, recursion!
  15. SUB tinyprint (t$) STATIC
  16.     x = xx
  17.     FOR i = 1 TO LEN(t$)
  18.         d$ = MID$(t$, i, 1): d = VAL(d$)
  19.         eh = INSTR(".+ ", d$): IF eh THEN d = eh + 9
  20.         FOR j = 0 TO 4
  21.             LINE (x, y + j)-(x + 4, y + j), 15, , p(d, j)
  22.         NEXT j
  23.         x = x + 4
  24.     NEXT i
  25.     y = y + 8: IF y > 400 THEN y = yy: xx = xx + 120
« Last Edit: February 04, 2020, 08:06:28 am by Richard Frost »
It works better if you plug it in.

Offline SMcNeill

  • QB64 Developer
  • Forum Resident
  • Posts: 3972
    • View Profile
    • Steve’s QB64 Archive Forum
Re: Math challenge: Evaluate big factorials like 1000!
« Reply #14 on: February 04, 2020, 07:41:29 am »
I noticed that the 32-bit version of QB64 is more accurate,  the 64-bit version doesn't preserve the precision of a _Float but rather that of a double

As I explained elsewhere, this type of statement is very OS/compiler/flag specific.  _FLOATs translate to long doubles and, as such, play under their rules for how they’re implemented in C.

 
_FLOAT isn’t “broke” on 64-bit versions.  You need to take a moment to read up on the long double variable type to try and understand the difference in behavior: https://en.wikipedia.org/wiki/Long_double

The precision results you see with _FLOAT depends heavily upon your system, the compiler you’re using, and sometimes even which option flags you have set with your compiler.

It’s not anything inside QB64 which is “broken”.  It’s simply the nature of a long double data type (_FLOAT).

_FLOATs are *required* to be as precise as doubles, but often offer more precision than that.  You can’t expect anything more from your programs than that, unless you want to write your own math routines or go to string math.
https://github.com/SteveMcNeill/Steve64 — A github collection of all things Steve!